Multiplication and Division of Rational Algebraic Expressions Worksheets

Multiplication Worksheets | Multiplication and Division of Rational Algebraic Expressions Worksheets – Are you ready to unlock the secrets of multiplication and division in algebraic expressions? Look no further than these magical worksheets that will help you sharpen your math skills while having a blast! Get ready to dive into the world of rational algebraic expressions and watch as your understanding and confidence soar to new heights.

Quiz & Worksheet - Multiply & Divide Rational Expressions | Study throughout Multiplication And Division Of Rational Algebraic Expressions Worksheets

Multiply Your Math Skills with These Magical Worksheets!

Multiplication can often seem like a daunting task, especially when dealing with algebraic expressions. But fear not! With these fun worksheets, you’ll be able to practice multiplying rational algebraic expressions in a way that makes learning enjoyable and engaging. From simplifying expressions to finding common denominators, these activities will challenge your mind and help you become a multiplication master in no time.

As you work through these worksheets, you’ll also develop a deeper understanding of how multiplication works in the context of algebra. You’ll start to see patterns and relationships that will make solving problems feel like second nature. So grab your pencil, put on your thinking cap, and get ready to multiply your math skills with these magical worksheets!

Divide and Conquer Algebraic Expressions with Fun Activities!

Division can be just as tricky as multiplication, but with the help of these fun activities, you’ll be dividing algebraic expressions like a pro. These worksheets will guide you through the process of dividing rational algebraic expressions, helping you build your problem-solving skills and boost your confidence. You’ll learn how to simplify complex expressions and divide them efficiently, all while enjoying the journey along the way.

By tackling division in a hands-on and interactive way, you’ll gain a deeper understanding of how algebraic expressions can be divided and manipulated. You’ll start to see division as a puzzle to solve rather than a roadblock to overcome. So don’t be afraid to dive into these activities and conquer division with a smile on your face. Before you know it, you’ll be dividing algebraic expressions with ease and feeling like a math magician!

These magical worksheets are the perfect way to enhance your multiplication and division skills in the realm of rational algebraic expressions. By engaging with these fun activities, you’ll not only sharpen your math abilities but also develop a newfound appreciation for the beauty and complexity of algebra. So don’t wait any longer – grab your worksheets and start multiplying and dividing your way to math mastery today!

Multiplication and Division of Rational Algebraic Expressions Worksheets

Multiply And Divide Algebraic Fractions (A) Worksheet | Fun And inside Multiplication and Division of Rational Algebraic Expressions Worksheets

Multiplying And Dividing Rational Expressions within Multiplication and Division of Rational Algebraic Expressions Worksheets

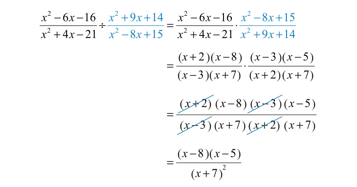
Multiplying And Dividing Rational Expressions inside Multiplication And Division Of Rational Algebraic Expressions Worksheets

Multiplication Worksheets…

Copyright Disclaimer: The rights to all images displayed belong to their original owners. Contact us for attribution or removal if necessary.

Related Post to Multiplication and Division of Rational Algebraic Expressions Worksheets