Skip to content
Multiplication Worksheets
Menu
Menu
About Us
Contact
Terms of Use
Cookie Policy
DMCA
Privacy Policy
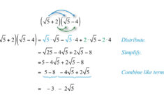
Multiplying And Dividing Radical Expressions with Multiplication Of Radical Expressions Worksheet